Background
Over the past few decades, the outcomes for children with ALL have significantly improved with current regimens that yield a 5-year complete remission (CR) and event-free survival (EFS) rates of 98% and 70-80%, respectively. In contrast, the adult population has a CR of 85-90%, with a less satisfactory disease-free survival (DFS) rate of only 30-40% at 5-years. The feasibility of Children's Oncology Group (COG) AALL0232 protocol in older patients has not been established, especially adults older than 40 years and whether they will tolerate such unmodified pediatric based regimen. Therefore, we planned to assess our practice's outcomes in terms of the efficacy and safety of the COG AALL0232 protocol in adult ALL patients.
Method
This was a retrospective observational study that included patients ≥ 14 years with newly diagnosed ALL. Patients were excluded if they have secondary ALL. Our institute has adopted the AALL0232 protocol for both B-cell and T-cell ALL due to the similarities between the AALL0232 and CALGB 10403 protocols. MRD data was not included in our study since the cut-off for detection has been changed over the study period. Patient demographics and treatment-related outcomes will be reported using descriptive statistics. OS and RFS probabilities will be calculated using the Kaplan-Meier product-limit method from the date of pre-phase initiation. All P-values will be two-sided with P <0.05 indicating significance.
Results
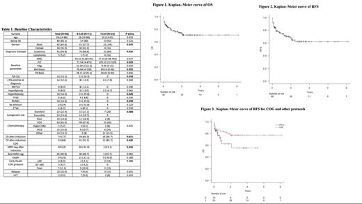
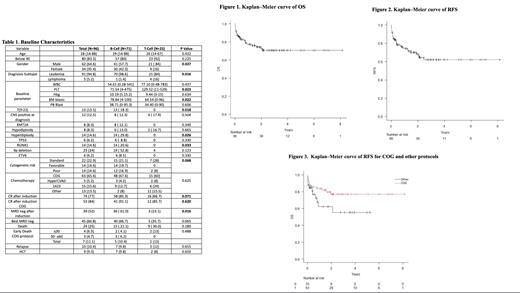
Between 2014 and 2022, a total of 96 patients were included in our study. 74% had B-cell and 26% had T-cell ALL. The majority of the patients had standard risk ALL (23%). 65% of the patients were receiving AALL0232 protocol. Early death with AALL0232 protocol occurred in 11.1% of our population. The 2-year OS rate was 72.6% (95% CI 61.4-81.1) (Figure 1). The OS rate for B-cell ALL was 78.5% compared to 53.8% for T-cell ALL at 2-years (P =0.0912). The use of AALL0232 protocol was comparable to other protocols in terms of survival with a 2-year OS rate of 77% and 62.3%, respectively (P=0.0761). Adults with favorable cytogenetic risk had an OS rate of 100% compared to 67.6% for standard and 49.2% for poor risk (P =0.047). Adults younger than 40 years had a higher OS rate compared to those older than 40 (76.4% vs. 54.7%, P= 0.0187). RFS rate at 2-years was durable in 68.2% of the patients (95% CI 56.8-77.2) (Figure 2). RFS rates were 72.3% for B-cell and 54.8% for T-cell ALL. The AALL0232 Protocol had a significant impact on RFS compared to other protocols (73.6% vs. 56.5%, P= 0.0277) (Figure 3). Those who were younger than 40 had an RFS rate of 73.9%. The 2-year NRM occurred in 21.7% of the population. The AALL0232 protocol did not result in a higher NRM compared to other protocols (P= 0.492).
Conclusion
Although the use of AALL0232 protocol in the adult population has a remarkable impact on the rate of relapse, its effect on survival remains questionable especially for patients with T-cell ALL and poor cytogenetic risk. Another point of concern is the early death rate that was observed in our study. Further studies are needed to assess the overall impact of COG protocol in the adult population.
Disclosures
No relevant conflicts of interest to declare.

This feature is available to Subscribers Only
Sign In or Create an Account Close Modal